Syndyk sprzeda pojazdy i ruchomości po firmie transportowej – 60% WARTOŚCI

Syndyk masy upadłości PACAD sp. z o.o. sprzeda pojazdy mechaniczne i ruchomości po firmie transportowej.

WARUNKI SPRZEDAŻY – KONKURS OFERT – SPRZEDAŻ PO OBNIŻONEJ CENIE

1. Sprzedaż będzie odbywała się na podstawie faktury VAT.
2. Syndyk sprzedaje ruchomości w konkursie ofert wybierając ofertę z najwyższą zaoferowaną ceną, nie niższą niż cena minimalna wskazana w wykazie ruchomości.
3. Płatność za daną ruchomość musi nastąpić w całości przed wydaniem przedmiotu sprzedaży.
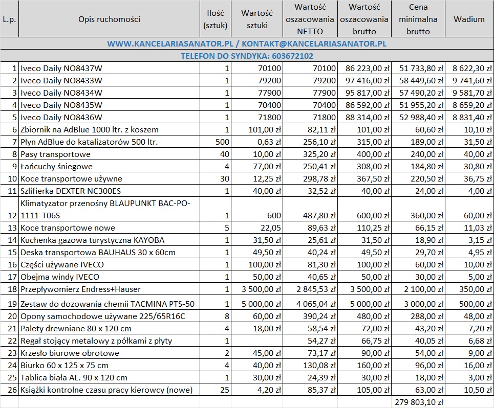
4. Ruchomości znajdują się w Olsztynie. Oferent ma możliwość zapoznania się z ruchomościami po uprzednim, telefonicznym kontakcie z Syndykiem – numer telefonu do syndyka wskazany został na zdjęciu z wykazem ruchomości i ustaleniu terminu oględzin.
5. Oferty należy składać w terminie do 4 maja 2026 r. włącznie, mailowo na adres wskazany na zdjęciu w wykazie ruchomości – umieszczony w ogłoszeniu bądź sekcji Zdjęcia lub korespondencyjnie na adres Kancelarii Syndyka: al. M. J. Piłsudskiego 11/17 lok. 400, 10-575 Olsztyn. W celu zachowania terminu liczy się data wpływu. Oferent zostanie powiadomiony o wynikach konkursu w terminie 7 dni mailowo lub telefonicznie.
6. Wycena ruchomości oraz ich opis znajduje się na na stronie internetowej syndyka, której adres widoczny jest na zdjęciu z wykazem ruchomości. W ogłoszeniu publikowanym na stronie www Syndyka, wyceny znajdują się poniżej warunków oferty.
7. Oferta powinna zawierać konkretne wskazanie składnika majątku wraz z numerem wskazanym w wykazie ruchomości (znajdującym się po lewej stronie od nazwy składnika – w wykazie ruchomości), dane kontaktowe, oferowaną cenę oraz podpis – własnoręczny lub elektroniczny (w przypadku ofert mailowych). W przypadku ofert mailowych dopuszcza się również wyłącznie formę dokumentową, bez podpisu. Warunkiem złożenia skutecznej oferty jest zapłata wadium za ruchomość, której dotyczy oferta. Kwota wadium wskazana jest w wykazie ruchomości. Rachunek bankowy do wpłaty wadium: 07 1870 1045 2078 1082 4640 0001.
8. W przypadku jeżeli zgłosi się więcej niż jeden zainteresowany Syndyk wybierze ofertę bardziej korzystną cenowo. O wyborze oferty Syndyk poinformuje wybranego oferenta. Cena powinna zostać zapłacona na rachunek wskazany przez Syndyka przed wydaniem przedmiotu sprzedaży.
9. Rękojmia z tytułu sprzedaży jest wyłączona. Syndyk nie udziela gwarancji na sprzedawane ruchomości.
10. Kupujący ponosi wszelkie opłaty, podatki i koszty związane z zawarcie umowy kupna-sprzedaży.
11. Syndyk zastrzega sobie prawo odwołania i unieważnienia możliwości składania ofert bez podania przyczyny.
12. W pozostałym zakresie obowiązują przepisy prawa upadłościowego i kodeksu cywilnego.

Wycena ruchomości

Wycena pojazdu – NO 8433W

Wycena pojazdu – NO 8434W

Wycena pojazdu – NO 8435W

Wycena pojazdu – NO 8436W

Wycena pojazdu – NO 8437W

Odsłon: 61